Experience points are the primary reward for adventuring in Guild Wars. Whenever a player kills enemies while adventuring or completes quests or missions, they are rewarded with experience points. They represent a character becoming more experienced (and more powerful) as they achieve more in the game world. After acquiring a certain amount of experience, players can level up and become stronger in their profession.
To examine the amount of experience a character has, press 'H' to open the Hero Panel. The total experience points acquired by this character will be shown in a horizontal bar. Hovering the mouse cursor over that bar will show the amount of experience needed for the next level or Skill Point.
Experience Points are often referred to as XP.
Experience from killing opponents[]
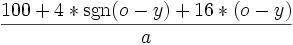
Opponents can be monsters in an explorable area or opposing players in PvP/GvG Battles. When an opponent is killed, party members get experience for the kill. Note that only those players participating in the battle will be taken into account when dividing experience. To participate in the battle you must have been in aggro range of the enemies, used skills against the enemies or used buffs on allies which participate in the battle. If a foe receives most of its damage from other sources than the party - NPCs (not including henchmen), other foes, Edge of Extinction, etc - the party will not gain experience from that foe unless the other foe's group is killed first. The amount of experience is scaled up or down for each party member depending on his/her level compared to the the slain foe. This is the formula used by the game:
where "o" is the level of your opponent, "y" is your level, and "a" is the number of people in your party.
In other words:
- The base xp of killing an enemy is 100.
- If player is higher in level than foe subtract 4, if foe is higher, add 4, if equal, add nothing.
- If player is higher in level than foe subtract 16 * level difference, if foe is higher, add that amount, if equal, add nothing.
- The sum of the above three steps is divided by living party members (including henchmen and Heroes).
- Every party member's XP is calculated individually.
- The result can never be less than 0; if it would be, use 0 instead.
- The final result is rounded to the nearest integer, half points being rounded down.
Example: A level 17 character and a level 20 character are adventuring together. They slay a level 18 monster. The experience given the level 17 character will be:
- (100 + 4 + 16 x (18-17)) / 2 = 60 XP
The experience given the level 20 character will be:
- (100 - 4 - 16 x (20-18)) / 2 = 32 XP
This essentially means players learn less from killing "easy" monsters than when they kill "hard" monsters. In game terms, you get more experience from higher level enemies.
Note that there does appear to be a cap on XP earned per monster (before party division) of 280 XP. This is likely to dissuade powerleveling. In practice, it means that XP for killing monsters caps out at 11 levels above your own. So if you are level 1, killing a level 12 monster nets you the same XP (before party division) as killing a level 24 monster.
Also note that XP awarded for killing level 0 mobs follow another formula: (30-5*y)/a (same rounding and no negative results). This might be because these mobs are far weaker than even level 1 ones.
Finally, up to three multiplicators can increase the final XP reward. They are applied after the cap.
- Bosses reward double XP (applies before the rounding).
- Insight scrolls multiply the final value by between 1.5 and 3, depending on the type of the active scroll. Only one type of scroll can be active at any time (applies after rounding).
- In hard mode, everyone gains 50% more XP.
- Bounties in normal mode double the XP reward for killing a foe of a certain species (applies after rounding).
The total resulting multiplicator can not be larger than 7. Therefore, the maximum amount of XP a player can gain from killing a single monster is 280XP * 7 = 1960 XP
For the results of the formula in table format, see the experience table below.
Experience from quests and missions[]
Experience Points rewarded by quests will be listed in the quest dialog window before accepting it and in the Quest Log after that. Tyrian missions always reward 1,000 XP for completing the primary objective and another 1,000 for the bonus objective. The experience gained from Canthan and Elonian missions depends on the level of completion of that mission (standard, expert, or master's). Experience from quests and missions is for the player alone and is not shared with other party members, henchmen, or pets. Heroes, however, do get experience rewards for missions and quests when the player does. Quest rewards vary; early ones give as little as 50 XP, but up to 50,000 for the most difficult ones such as the Titan Quests.
Experience and levels[]
While a character's maximum level is 20, further experience will still give Skill Points. There is no limit to the number of skill points that can be gained in this way. Some people keep track of this by saying what their level would be if there was no cap. For example, level 20 with 12 extra skill points would be called a virtual level 32. However, these virtual levels do not translate into benefit in-game because the experience you get at virtual level 32 for killing say a level 26 enemy is the same as the experience you would get at virtual level 50 since you are still really level 20.
The formula for the additional experience required to level is:
- CurrentLevel * 600 + 1,400
This is capped at a maximum of 15,000.
| Level | Total XP earned | XP needed for next level |
|---|---|---|
| 1 | 0 | 2,000 |
| 2 | 2,000 | 2,600 |
| 3 | 4,600 | 3,200 |
| 4 | 7,800 | 3,800 |
| 5 | 11,600 | 4,400 |
| 6 | 16,000 | 5,000 |
| 7 | 21,000 | 5,600 |
| 8 | 26,600 | 6,200 |
| 9 | 32,800 | 6,800 |
| 10 | 39,600 | 7,400 |
| 11 | 47,000 | 8,000 |
| 12 | 55,000 | 8,600 |
| 13 | 63,600 | 9,200 |
| 14 | 72,800 | 9,800 |
| 15 | 82,600 | 10,400 |
| 16 | 93,000 | 11,000 |
| 17 | 104,000 | 11,600 |
| 18 | 115,600 | 12,200 |
| 19 | 127,800 | 12,800 |
| 20 | 140,600 | 13,400 |
| 21 | 154,000 | 14,000 |
| 22 | 168,000 | 14,600 |
| 23+ | 182,600 + (level - 23) * 15,000 |
15,000 |
Experience table[]
The following shows the result of the formula listed above, in table format, with only one person in the party (a=1).
Note that monsters gain twice as much XP as a player in the same circumstances.
| Opponent level ("o") |
Your level ("y") | |||||||||||||||||||
|---|---|---|---|---|---|---|---|---|---|---|---|---|---|---|---|---|---|---|---|---|
| 1 | 2 | 3 | 4 | 5 | 6 | 7 | 8 | 9 | 10 | 11 | 12 | 13 | 14 | 15 | 16 | 17 | 18 | 19 | 20 | |
| 0 | 25 | 20 | 15 | 10 | 5 | 0 | 0 | 0 | 0 | 0 | 0 | 0 | 0 | 0 | 0 | 0 | 0 | 0 | 0 | 0 |
| 1 | 100 | 80 | 64 | 48 | 32 | 16 | 0 | 0 | 0 | 0 | 0 | 0 | 0 | 0 | 0 | 0 | 0 | 0 | 0 | 0 |
| 2 | 120 | 100 | 80 | 64 | 48 | 32 | 16 | 0 | 0 | 0 | 0 | 0 | 0 | 0 | 0 | 0 | 0 | 0 | 0 | 0 |
| 3 | 136 | 120 | 100 | 80 | 64 | 48 | 32 | 16 | 0 | 0 | 0 | 0 | 0 | 0 | 0 | 0 | 0 | 0 | 0 | 0 |
| 4 | 152 | 136 | 120 | 100 | 80 | 64 | 48 | 32 | 16 | 0 | 0 | 0 | 0 | 0 | 0 | 0 | 0 | 0 | 0 | 0 |
| 5 | 168 | 152 | 136 | 120 | 100 | 80 | 64 | 48 | 32 | 16 | 0 | 0 | 0 | 0 | 0 | 0 | 0 | 0 | 0 | 0 |
| 6 | 184 | 168 | 152 | 136 | 120 | 100 | 80 | 64 | 48 | 32 | 16 | 0 | 0 | 0 | 0 | 0 | 0 | 0 | 0 | 0 |
| 7 | 200 | 184 | 168 | 152 | 136 | 120 | 100 | 80 | 64 | 48 | 32 | 16 | 0 | 0 | 0 | 0 | 0 | 0 | 0 | 0 |
| 8 | 216 | 200 | 184 | 168 | 152 | 136 | 120 | 100 | 80 | 64 | 48 | 32 | 16 | 0 | 0 | 0 | 0 | 0 | 0 | 0 |
| 9 | 232 | 216 | 200 | 184 | 168 | 152 | 136 | 120 | 100 | 80 | 64 | 48 | 32 | 16 | 0 | 0 | 0 | 0 | 0 | 0 |
| 10 | 248 | 232 | 216 | 200 | 184 | 168 | 152 | 136 | 120 | 100 | 80 | 64 | 48 | 32 | 16 | 0 | 0 | 0 | 0 | 0 |
| 11 | 264 | 248 | 232 | 216 | 200 | 184 | 168 | 152 | 136 | 120 | 100 | 80 | 64 | 48 | 32 | 16 | 0 | 0 | 0 | 0 |
| 12 | 280 | 264 | 248 | 232 | 216 | 200 | 184 | 168 | 152 | 136 | 120 | 100 | 80 | 64 | 48 | 32 | 16 | 0 | 0 | 0 |
| 13 | 280 | 280 | 264 | 248 | 232 | 216 | 200 | 184 | 168 | 152 | 136 | 120 | 100 | 80 | 64 | 48 | 32 | 16 | 0 | 0 |
| 14 | 280 | 280 | 280 | 264 | 248 | 232 | 216 | 200 | 184 | 168 | 152 | 136 | 120 | 100 | 80 | 64 | 48 | 32 | 16 | 0 |
| 15 | 280 | 280 | 280 | 280 | 264 | 248 | 232 | 216 | 200 | 184 | 168 | 152 | 136 | 120 | 100 | 80 | 64 | 48 | 32 | 16 |
| 16 | 280 | 280 | 280 | 280 | 280 | 264 | 248 | 232 | 216 | 200 | 184 | 168 | 152 | 136 | 120 | 100 | 80 | 64 | 48 | 32 |
| 17 | 280 | 280 | 280 | 280 | 280 | 280 | 264 | 248 | 232 | 216 | 200 | 184 | 168 | 152 | 136 | 120 | 100 | 80 | 64 | 48 |
| 18 | 280 | 280 | 280 | 280 | 280 | 280 | 280 | 264 | 248 | 232 | 216 | 200 | 184 | 168 | 152 | 136 | 120 | 100 | 80 | 64 |
| 19 | 280 | 280 | 280 | 280 | 280 | 280 | 280 | 280 | 264 | 248 | 232 | 216 | 200 | 184 | 168 | 152 | 136 | 120 | 100 | 80 |
| 20 | 280 | 280 | 280 | 280 | 280 | 280 | 280 | 280 | 280 | 264 | 248 | 232 | 216 | 200 | 184 | 168 | 152 | 136 | 120 | 100 |
| 21 | 280 | 280 | 280 | 280 | 280 | 280 | 280 | 280 | 280 | 280 | 264 | 248 | 232 | 216 | 200 | 184 | 168 | 152 | 136 | 120 |
| 22 | 280 | 280 | 280 | 280 | 280 | 280 | 280 | 280 | 280 | 280 | 280 | 264 | 248 | 232 | 216 | 200 | 184 | 168 | 152 | 136 |
| 23 | 280 | 280 | 280 | 280 | 280 | 280 | 280 | 280 | 280 | 280 | 280 | 280 | 264 | 248 | 232 | 216 | 200 | 184 | 168 | 152 |
| 24 | 280 | 280 | 280 | 280 | 280 | 280 | 280 | 280 | 280 | 280 | 280 | 280 | 280 | 264 | 248 | 232 | 216 | 200 | 184 | 168 |
| 25 | 280 | 280 | 280 | 280 | 280 | 280 | 280 | 280 | 280 | 280 | 280 | 280 | 280 | 280 | 264 | 248 | 232 | 216 | 200 | 184 |
| 26 | 280 | 280 | 280 | 280 | 280 | 280 | 280 | 280 | 280 | 280 | 280 | 280 | 280 | 280 | 280 | 264 | 248 | 232 | 216 | 200 |
| 27 | 280 | 280 | 280 | 280 | 280 | 280 | 280 | 280 | 280 | 280 | 280 | 280 | 280 | 280 | 280 | 280 | 264 | 248 | 232 | 216 |
| 28 | 280 | 280 | 280 | 280 | 280 | 280 | 280 | 280 | 280 | 280 | 280 | 280 | 280 | 280 | 280 | 280 | 280 | 264 | 248 | 232 |
| 29 | 280 | 280 | 280 | 280 | 280 | 280 | 280 | 280 | 280 | 280 | 280 | 280 | 280 | 280 | 280 | 280 | 280 | 280 | 264 | 248 |
| 30 | 280 | 280 | 280 | 280 | 280 | 280 | 280 | 280 | 280 | 280 | 280 | 280 | 280 | 280 | 280 | 280 | 280 | 280 | 280 | 264 |
| 31 | 280 | 280 | 280 | 280 | 280 | 280 | 280 | 280 | 280 | 280 | 280 | 280 | 280 | 280 | 280 | 280 | 280 | 280 | 280 | 280 |